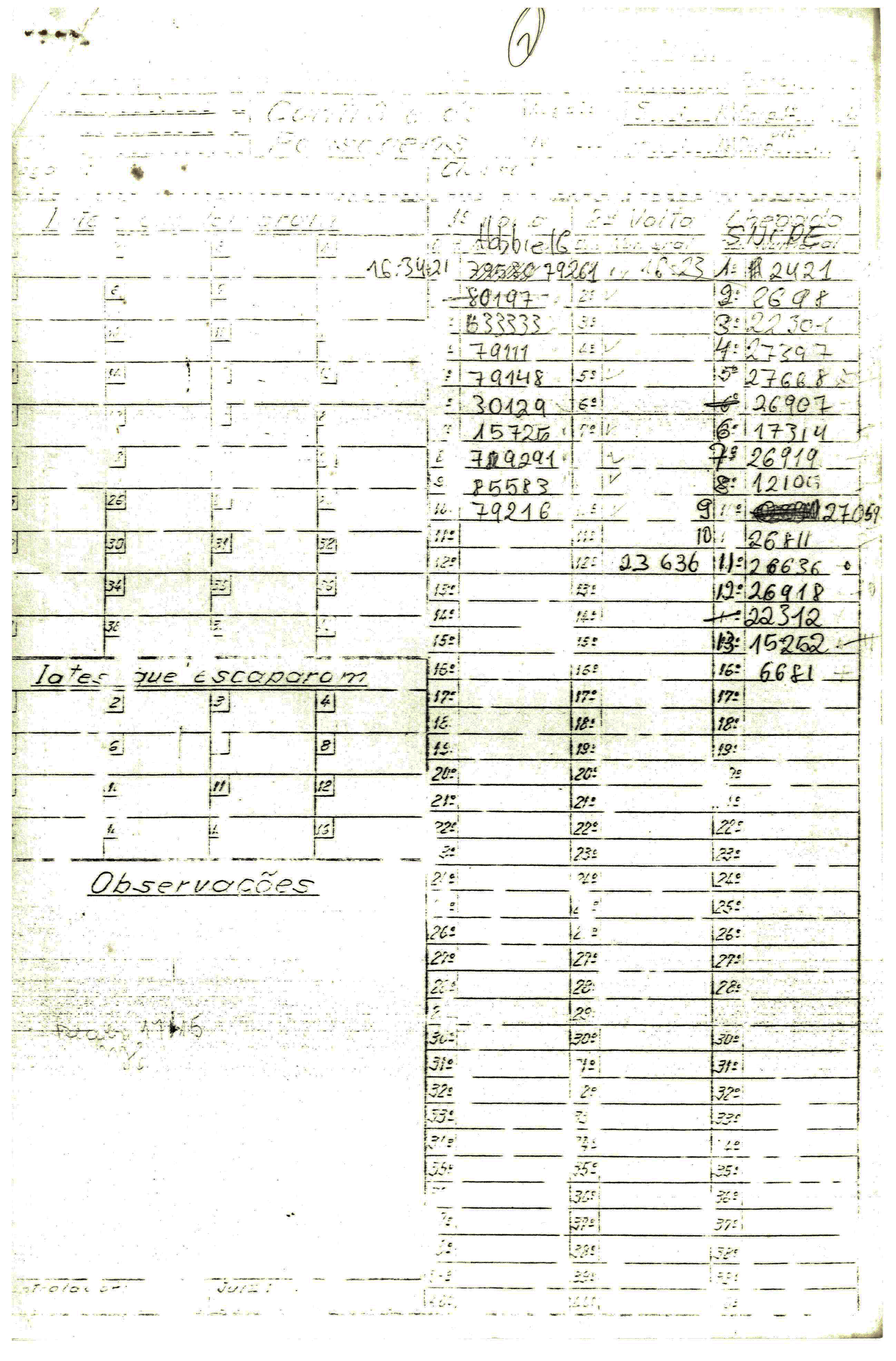
Recebi do Garrafa uma caixa com relíquias da Classe. Estávamos no pub do YCP e o Fred nos apresentou. O Garrafa então me entregou uma caixa cheia de súmulas dos anos 1986 a 1991 e uma porção de documentos da época em que o Fred foi Secretario Nacional e o Camps era coordenador da classe de São Paulo.
Nas súmulas tem o nome de muita gente que ainda veleja e de muitos barcos que ainda estão nas raias disputando copas, regatas ou simplesmente velejando.
Estas súmulas ficarão nesta secção que chamei de MUSEU. Quando quiserem matar a saudade podem vir aqui, e se tiverem fotos antigas da época podemos guardá-las aqui também (mandem as fotos pro snipesaopaulo@gmail.com).
Um grande abraço e bons ventos!
Alonso López.
Coordenador Classe Snipe São Paulo.
1986





1987














1988

1989





1990

























1991











